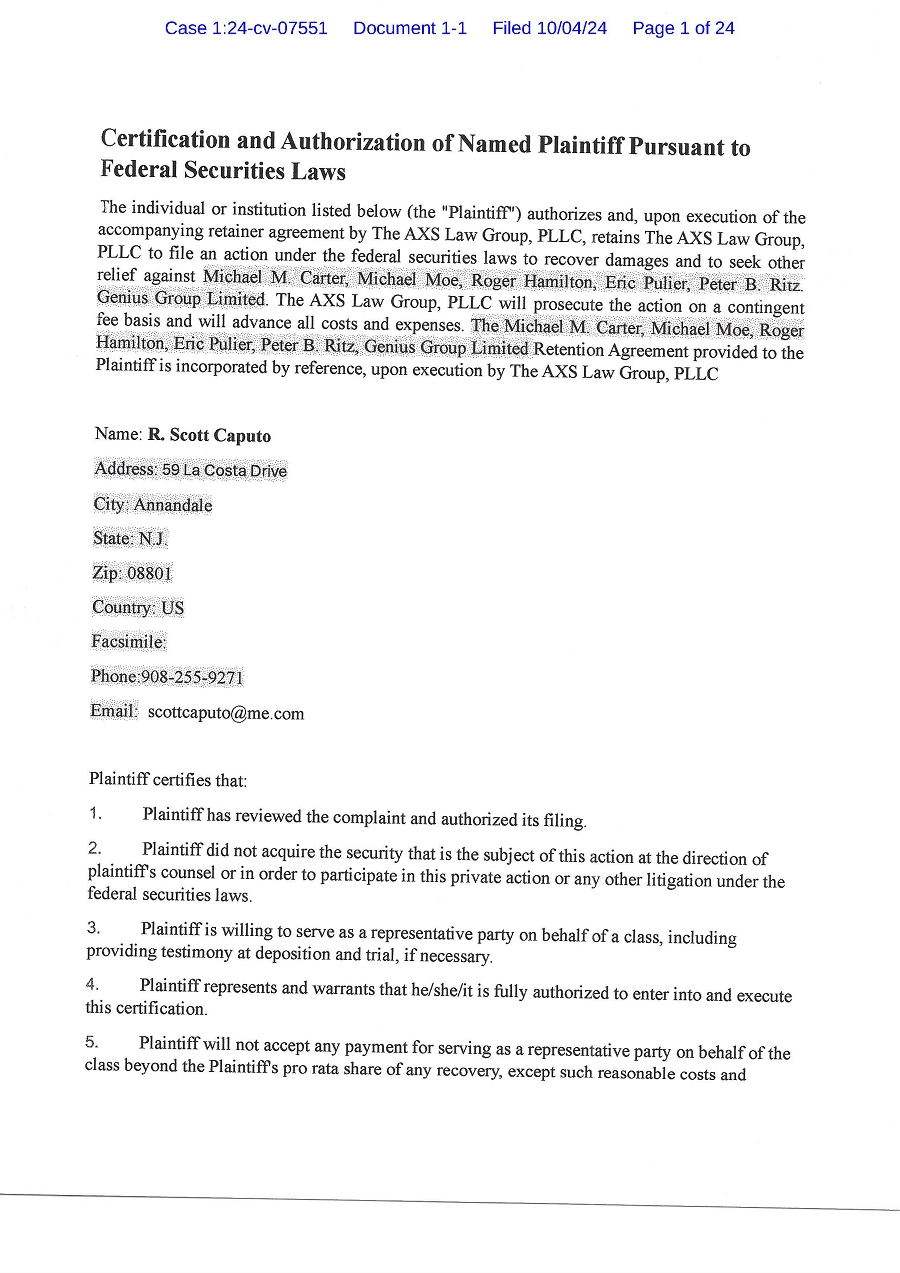
Exhibit 2